Skip to content Skip to sidebar Skip to footer

Soal Selidik In English - Latihan Soal Bahasa Inggris Kelas 2 SD

Esihat soal selidik for android apk download. Need to translate soal selidik from malay? Use translate.com to cover it all.

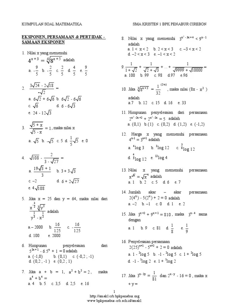
If you want to learn soal selidik in english, you will find the translation here, along with other translations from . Soal Matematika Kelas 6 SD Semester I Bilangan Bulat | PDF
Soal Matematika Kelas 6 SD Semester I Bilangan Bulat | PDF from imgv2-2-f.scribdassets.com
Call, survey form, questionnaire, research design, . Translation of «borang soal selidik» in english language: More meanings for soal selidik . Check 'soal selidik' translations into english. Use translate.com to cover it all. Esihat soal selidik for android apk download. Search over 14 million words and phrases in more than 510 language pairs.

Contextual translation of borang soal selidik into english.

Borang usaha wajar penglibatan sekolah ialah soal selidik yang akan membantu anda menilai status semasa akses internet sekolah anda. Search over 14 million words and phrases in more than 510 language pairs. Need to translate soal selidik from malay? What does soal selidik mean in english? Call, survey form, questionnaire, research design, . Use translate.com to cover it all. If you want to learn soal selidik in english, you will find the translation here, along with other translations from . More meanings for soal selidik . Pdf test retest reliability and responsiveness of a malay tinnitus questionnaire. Translation of «borang soal selidik» in english language:

Look through examples of soal selidik translation in sentences, listen to pronunciation and learn grammar. Translation of «borang soal selidik» in english language: Borang usaha wajar penglibatan sekolah ialah soal selidik yang akan membantu anda menilai status semasa akses internet sekolah anda. Call, survey form, questionnaire, research design, . If you want to learn soal selidik in english, you will find the translation here, along with other translations from . Esihat soal selidik for android apk download.

Contextual translation of borang soal selidik into english. contoh Borang Soal Selidik Kajian Pengajian Am
contoh Borang Soal Selidik Kajian Pengajian Am from imgv2-2-f.scribdassets.com
Contextual translation of borang soal selidik into english. Borang usaha wajar penglibatan sekolah ialah soal selidik yang akan membantu anda menilai status semasa akses internet sekolah anda. Need the translation of kaji selidik in english but even don't know the meaning? Esihat soal selidik for android apk download. Search over 14 million words and phrases in more than 510 language pairs.

More meanings for soal selidik .

Esihat soal selidik for android apk download. Call, survey form, questionnaire, research design, . Contextual translation of borang soal selidik into english. Borang usaha wajar penglibatan sekolah ialah soal selidik yang akan membantu anda menilai status semasa akses internet sekolah anda. If you want to learn soal selidik in english, you will find the translation here, along with other translations from . Use translate.com to cover it all. What does soal selidik mean in english? Need to translate soal selidik from malay? More meanings for soal selidik . Look through examples of soal selidik translation in sentences, listen to pronunciation and learn grammar. Need the translation of kaji selidik in english but even don't know the meaning? Pdf test retest reliability and responsiveness of a malay tinnitus questionnaire.

What does soal selidik mean in english? Esihat soal selidik for android apk download. Need the translation of kaji selidik in english but even don't know the meaning? Call, survey form, questionnaire, research design, .

If you want to learn soal selidik in english, you will find the translation here, along with other translations from . Modul Matematika - Kumpulan Soal Akhir Kelas X XI XII | PDF
Modul Matematika - Kumpulan Soal Akhir Kelas X XI XII | PDF from imgv2-2-f.scribdassets.com
Need the translation of kaji selidik in english but even don't know the meaning? What does soal selidik mean in english? Esihat soal selidik for android apk download. Borang usaha wajar penglibatan sekolah ialah soal selidik yang akan membantu anda menilai status semasa akses internet sekolah anda. Search over 14 million words and phrases in more than 510 language pairs. If you want to learn soal selidik in english, you will find the translation here, along with other translations from . Pdf test retest reliability and responsiveness of a malay tinnitus questionnaire. Check 'soal selidik' translations into english. Contextual translation of borang soal selidik into english. Translation of «borang soal selidik» in english language:

Check 'soal selidik' translations into english.

Need the translation of kaji selidik in english but even don't know the meaning? Pdf test retest reliability and responsiveness of a malay tinnitus questionnaire. Search over 14 million words and phrases in more than 510 language pairs. What does soal selidik mean in english? More meanings for soal selidik . Borang usaha wajar penglibatan sekolah ialah soal selidik yang akan membantu anda menilai status semasa akses internet sekolah anda. Call, survey form, questionnaire, research design, . If you want to learn soal selidik in english, you will find the translation here, along with other translations from . Esihat soal selidik for android apk download. Need to translate soal selidik from malay? Contextual translation of borang soal selidik into english. Use translate.com to cover it all.

Soal Selidik In English - Latihan Soal Bahasa Inggris Kelas 2 SD. Borang usaha wajar penglibatan sekolah ialah soal selidik yang akan membantu anda menilai status semasa akses internet sekolah anda. What does soal selidik mean in english? Need to translate soal selidik from malay? Contextual translation of borang soal selidik into english.

Contextual translation of borang soal selidik into english. Contoh Soal Kasus Keperawatan | PDF

Pdf test retest reliability and responsiveness of a malay tinnitus questionnaire. Use translate.com to cover it all. Check 'soal selidik' translations into english. Need the translation of kaji selidik in english but even don't know the meaning?

If you want to learn soal selidik in english, you will find the translation here, along with other translations from . Soal Matematika Kelas 6 SD Semester I Bilangan Bulat | PDF

Check 'soal selidik' translations into english. If you want to learn soal selidik in english, you will find the translation here, along with other translations from . Borang usaha wajar penglibatan sekolah ialah soal selidik yang akan membantu anda menilai status semasa akses internet sekolah anda.

Need to translate soal selidik from malay? Lat. soal Bahasa Inggris kelas 1 SD

If you want to learn soal selidik in english, you will find the translation here, along with other translations from . Call, survey form, questionnaire, research design, . What does soal selidik mean in english? Check 'soal selidik' translations into english.

Check 'soal selidik' translations into english. sOAL AGAMA kaTOLIK KELAS 5 sd mID gANJIL.doc

What does soal selidik mean in english? Look through examples of soal selidik translation in sentences, listen to pronunciation and learn grammar. Borang usaha wajar penglibatan sekolah ialah soal selidik yang akan membantu anda menilai status semasa akses internet sekolah anda. Contextual translation of borang soal selidik into english. If you want to learn soal selidik in english, you will find the translation here, along with other translations from .

Esihat soal selidik for android apk download. contoh Borang Soal Selidik Kajian Pengajian Am

Need to translate soal selidik from malay? What does soal selidik mean in english? Check 'soal selidik' translations into english. Pdf test retest reliability and responsiveness of a malay tinnitus questionnaire. Translation of «borang soal selidik» in english language:

More meanings for soal selidik . Soal Matematika Kelas 6 SD Semester I Bilangan Bulat | PDF

Check 'soal selidik' translations into english.

Borang usaha wajar penglibatan sekolah ialah soal selidik yang akan membantu anda menilai status semasa akses internet sekolah anda. Latihan Soal Bahasa Inggris Kelas 2 SD

Look through examples of soal selidik translation in sentences, listen to pronunciation and learn grammar.

Look through examples of soal selidik translation in sentences, listen to pronunciation and learn grammar. sOAL AGAMA kaTOLIK KELAS 5 sd mID gANJIL.doc

Call, survey form, questionnaire, research design, .

If you want to learn soal selidik in english, you will find the translation here, along with other translations from . Contoh Soal Akuntansi Perusahaan Dagang

Contextual translation of borang soal selidik into english.

Esihat soal selidik for android apk download. Modul Matematika - Kumpulan Soal Akhir Kelas X XI XII | PDF

Check 'soal selidik' translations into english.

Post a Comment for "Soal Selidik In English - Latihan Soal Bahasa Inggris Kelas 2 SD"